当前位置: 中文主页 > 成果介绍

张岩峰

Personal profile

个人简介

研究组主页:https://idc-neu.github.io/  个人主页:https://neuzhangyf.github.io/ 张岩峰,东北大学教授,博士生导师,东北大学与美国麻省州立大学联合培养博士,入选国家级高层次青年人才计划,辽宁省杰青,沈阳市科技优才领军人才,“兴沈英才计划”中青年科技创新人才,CCF数据库专委会、分布式计算与系统专委会、...

more+

成果介绍

Ingress: 从静态图分析到动态图分析 [VLDB 2021]

发布时间:2022-11-19  点击次数:

本文介绍 GraphScope 团队与东北大学张岩峰教授团队的学术合作项目,可以高效处理动态大规模图数据的自动增量图分析框架 Ingress。该成果论文 Automating Incremental Graph Processing with Flexible Memoization[1] 发表于 VLDB’2021。

背景

随着图数据的迅速增长,对处理大规模图数据的需求也不断增加,也涌现了各种分布式图处理系统,如 Pregel、PowerGraph、GeminiGraph、GRAPE 等。但这些分布式图处理系统大多数基于静态图设计,主要用于分析一些大规模静态图数据。而现实生活中,图数据不仅规模巨大,而且不断发生变化,例如下图的场景中,常发生一些点或者边的增加和删除。

Image动态图示例:网页链接的添加/删除;交易图中的交易创建/取消;社交图中的好友关注/取消关注

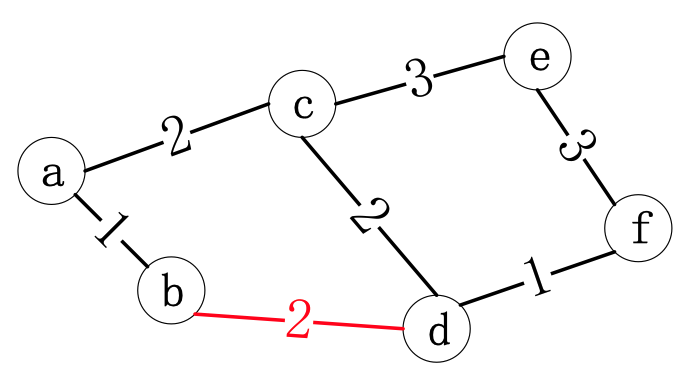
图数据的变化往往会导致图数据分析结果的变化,举个例子,在下图中添加一条从点 b 到点 d 且权重为 2 的边(标红显示),则点 a 到点 f 的最短路径从 5 变为 4。

Image图数据发生变化导致图分析结果变化

现有的静态图分析系统需要对变化后的图数据需要重新计算,以此来更新图分析结果。频繁地对大规模图数据进行重新分析存在计算开销大和结果更新时延长等问题。

Image静态图处理系统需要重新计算

而增量图分析只需要针对数据的变化部分重新计算,然后通过一些算法将增量结果与原大图计算结果相融合,从而高效地得到新的计算结果。

Image增量计算图处理系统只需要计算图数据的变化部分

现在也有一些动态图计算系统的研究,如 GraphIn[2]GraphBolt[3]Tornado[4]KickStarter[5] 等。虽然他们可以消除重新计算带来的大量冗余计算,但是这些系统在实用性方面仍然受两个因素限制:

  • 这些图流数据处理系统需要用户参与一些繁琐的图流数据算法设计。例如 GraphIn 和 GraphBolt 需要用户自己推导出处理图流数据的计算逻辑,而 Tornado 和 KickStarter 则需要用户根据批处理图算法的特性自行选择合适的图流数据处理系统。
  • 这些系统分别采用了不同的中间信息记录策略,并且适用于不同层次的应用。例如,GraphBolt 的主要目的是从一个更高的层次支持大量的图分析应用的图流数据计算,因此在进行批处理计算时,它需要记录大量的中间结果;而 KickStarter,GraphIn 和 Tornado 虽然记录少量甚至不记录中间结果,但是这些系统只支持一部分特定的图分析算法的流式计算。

Image现存各系统特性比较

能否构建一个自动将用户自定义的批处理算法自动转换成处理图流数据计算模型?所构建的图流数据计算框架能否自动决策不适用哪种数据记录策略,以便尽可能减少中间结果的记录数量?我们基于这样的目的,研究并研发了 Ingress (Incremental graph processing system)。该系统不需要用户提供复杂的辅助数据结构和复杂的增量计算逻辑,而是通过用户给定的传统批处理算法,Ingress 系统自动将其转换成对应的增量图分析算法。

自动增量计算

Ingress 是一个以顶点为中心的自动增量图计算框架,需要用户输入批处理算法的三个函数,消息聚集函数 H,顶点更新函数U和消息生成函数 G。Ingress 采用消息差异驱动的机制实现动态图数据的自动增量处理,通过对比图数据变化前后顶点收发消息的差异来调整图分析结果。如下图所示,删除了顶点 A 到顶点 C 的边,添加了顶点 C 到顶点 A 的边,那么在原图上从顶点 A 发送给顶点 C 的消息对应于变化后的图为无效消息。而在变化后的图中顶点 A 缺少了从顶点 C 发送给自己的一条消息。因此,在变化后的图上,只需要从顶点 A 发送给顶点 C 一条消除消息,消除之前顶点 A 发送给顶点 C 的消息产生的影响。同样,顶点 C 发送给顶点 A 一条补偿消息,填补顶点 C 少发给顶点 A 的消息。

Image图数据的变化及顶点收发消息的变化

这种基于消息差异驱动的自动增量计算机制不要求用户设计复杂的辅助数据结构和增量计算逻辑,提高了系统的易用性。但是在迭代图分析执行过程中,大量中间消息的存储会影响系统性能。虽然通过记录迭代算法执行过程中所产生的消息可以避免增量计算过程中的大量重复计算,但是由于大量消息的记录及其增量计算过程中的读取和更新可能导致增量计算的速度反而不如重新计算。

灵活消息记录机制及其自动选择

为了提升 Ingress 增量图处理性能,Ingress 中内嵌了4种不同的中间消息存储引擎,无消息存储引擎(Memoization-Free Engine),路径记忆引擎(Memoization-Path Engine),顶点记忆引擎(Memoization-Vertex Engine)和边记忆引擎(Memoization-Edge Engine)。在无消息存储引擎中,图算法的执行过程中不记录任何生成消息。但是该引擎可以从顶点的最终状态中推导出顶点的收发消息集合,从而达到在不记录迭代计算中间消息的情况下仍然能够在变化后的图数据上增量更新图分析结果,如Delta-PageRank适合此类消息记录引擎。在路径记忆引擎中,迭代图算法的执行过程中并不记录消息,而是记录顶点最终状态由哪条消息决定,这些决定性的消息在图数据中形成若干条关键路径。当图数据发生变化时,从关键路径中推导出部分收发消息,并重新构造关键路径从而更新图数据分析结果,如 SSSP 算法适合此类消息记录引擎。在顶点记忆引擎中,每个顶点会记录迭代计算过程中所收到消息的聚集值。该引擎根据聚集值可以反推出每个顶点收到的消息及所发送的消息,在图变化后对缺失消息和错误消息进行补偿和抵消,从而更新图分析结果,如 GCN-Forward 计算适合此类消息记录引擎。边记忆策略则是机械记录迭代计算过程中所有的消息,即从每条边上所传输的消息。当图发生变化后,根据图的变化和所记录的消息对图分析结果进行矫正,如 GraphSAGE 和 GIN 适合此类消息记录引擎。

ImageIngress中的四种消息记忆引擎

面对四种消息记忆引擎,用户需要选择合适的引擎,从而减少运行时内存开销和中间消息的更新开销。为减轻用户选择消息记忆策略的困难,Ingress 配备了自动选择引擎。首先团队人员经过理论分析,找到了适合不同记忆策略的图分析算法所需要的条件,比如消息聚集需要符合结合律,交换律等性质。Ingress 根据用户输入的批处理算法的三个函数 H, U 和 G 及其性质,自动选择其合适的消息记忆引擎,并选择尽可能减少消息存储量的引擎。而对于用户输入的函数所具备的性质的检验,Ingress 借用微软的可满足模理论工具 Z3(SMT Solver Z3)来自动验证函数所具备的性质,其的整体计算框架如下图所示。消息记忆策略的自动选择提升了 Ingress 的易用性并且降低了系统运行时的内存开销。

ImageIngress计算架构图

系统实现和性能表现

基于上述增量计算框架的设计,我们在 GRAPE 系统的开源实现代码 libgrape-lite 上实现了Ingress增量图处理系统。Ingress 在保证易用性和运行时存储开销尽量低的情况下仍然具有非常好的增量图处理性能。Ingress 和当前较新的增量图处理系统 Tornado,GraphBolt 和 Kickstarter 以及 GRAPE(仅使用其静态图处理能力,通过重新计算完成更新计算结果,记作 IngressR)进行了性能测试和对比。

ImagePageRank 的运行时间和存储开销

上图显示了在US-Road(UR),UK-2005(UK),Twitter(TW) 和 EuroRoad(ER) 数据集上执行 PageRank,当数据集变化 1% 时不同系统的响应时间和运行时内存开销。从图中可以看出,与其它系统相比 Ingress 在使用非常少的内存情况下仍然保持最佳增量图处理性能。

总结和展望

Ingress 在动态图数据的增量计算方面配备了四种不同的存储引擎分别对应不同图分析算法的增量处理需求,并经过严格的理论分析证明了四种存储引擎均可以得到正确的增量处理结果。但是该系统并未解决动态数据的存储需求,当有数据更新时仍然需要重新加载数据。未来工作将解决动态图数据的灵活存储问题,从而支持真实场景中的高吞吐量。阅读全文可查看论文。

参考资料

[1]

Automating Incremental Graph Processing with Flexible Memoization: https://dl.acm.org/doi/abs/10.14778/3461535.3461550

[2]

GraphIn: https://dl.acm.org/doi/10.1007/978-3-319-43659-3_24

[3]

GraphBolt: https://dl.acm.org/doi/10.1145/3302424.3303974

[4]

Tornado: https://dl.acm.org/doi/10.1145/2882903.2882950

[5]

KickStarter: https://dl.acm.org/doi/10.1145/3093337.3037748


扫描查看移动版

访问量:     最后更新时间:--